Aesop Auto Parts Safety Information
  • Safety Data Sheet 101
  • FAQs and Tips
  • Additional Aesop Safety Information
  • Forklift / Lift LOTO Procedures
  • Safety Schedule
  • PPE List
  • Workers Compensation
  • Contacts
  • Reporting a Problem
  • Safety Data Sheets
  • Accelerator-Microbial
  • Acid Neutralizer
  • Adhesive-Tack
  • Batteries
  • Batteries - Hybrid/EV
  • Concrete
  • Enzyme
  • Fire Retardants
  • First Aid Kits
  • Foamer-Shipping
  • Gases
  • Herbicide
  • Ice Melt / De-icer
  • Insecticides
  • Insect Repellent
  • Lubricants / Grease
  • Paint-Ink
  • Polish-Wax
  • Sealants
  • Soaps, Disinfectants, and Fresheners
  • Spill Kit Treatments
  • Tire Sealant-Vulcanizing
  • Oil
  • Additive-Oil
  • Conventional Motor Oil
  • Conventional Gear Oil
  • Diesel
  • Oil-Dry
  • Synthetic Motor Oil
  • Synthetic Gear Oil
  • Used Oil
  • Fuel
  • Additive-Fuel
  • Diesel
  • Fluid - General
  • Unleaded
  • Transmission
  • Addititve-Transmission
  • Transmission-General
  • Windshield Fluid
  • Solvents, Detergents, and Degreasers
  • Section 1
  • Section 2
  • Section 3
  • Hydraulic Fluids
  • Brake Fluid
  • Hydraulic Fluids - General
  • Power Steering
  • Refrigerants
  • Additive-Freon
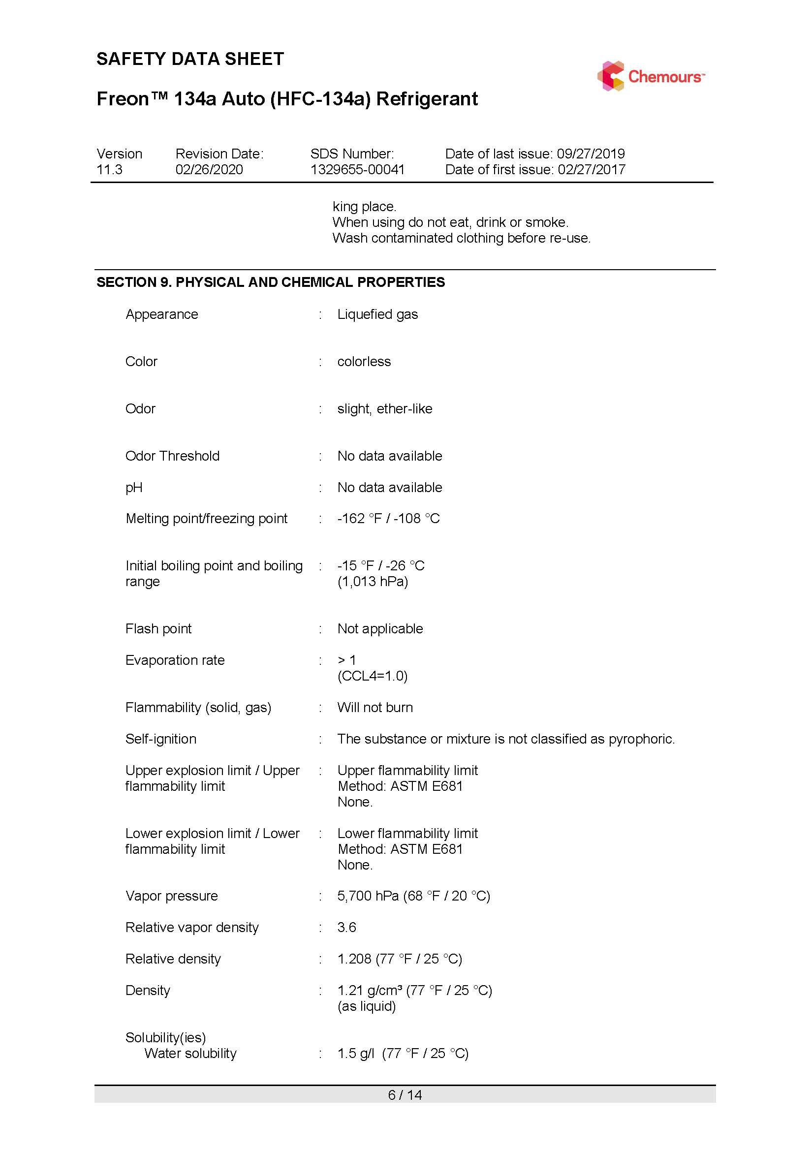
  • R-134a
  • R-12
  • Antifreeze
  • Antifreeze- General
  • Used Antifreeze
Aesop Auto Parts Safety Information
  • Safety Data Sheet 101
  • FAQs and Tips
  • Additional Aesop Safety Information
  • Forklift / Lift LOTO Procedures
  • Safety Schedule
  • PPE List
  • Workers Compensation
  • Contacts
  • Reporting a Problem
  • Safety Data Sheets
  • Accelerator-Microbial
  • Acid Neutralizer
  • Adhesive-Tack
  • Batteries
  • Batteries - Hybrid/EV
  • Concrete
  • Enzyme
  • Fire Retardants
  • First Aid Kits
  • Foamer-Shipping
  • Gases
  • Herbicide
  • Ice Melt / De-icer
  • Insecticides
  • Insect Repellent
  • Lubricants / Grease
  • Paint-Ink
  • Polish-Wax
  • Sealants
  • Soaps, Disinfectants, and Fresheners
  • Spill Kit Treatments
  • Tire Sealant-Vulcanizing
  • Oil
  • Additive-Oil
  • Conventional Motor Oil
  • Conventional Gear Oil
  • Diesel
  • Oil-Dry
  • Synthetic Motor Oil
  • Synthetic Gear Oil
  • Used Oil
  • Fuel
  • Additive-Fuel
  • Diesel
  • Fluid - General
  • Unleaded
  • Transmission
  • Addititve-Transmission
  • Transmission-General
  • Windshield Fluid
  • Solvents, Detergents, and Degreasers
  • Section 1
  • Section 2
  • Section 3
  • Hydraulic Fluids
  • Brake Fluid
  • Hydraulic Fluids - General
  • Power Steering
  • Refrigerants
  • Additive-Freon
  • R-134a
  • R-12
  • Antifreeze
  • Antifreeze- General
  • Used Antifreeze

R-134a

↑Back to Top
Powered by Adobe Portfolio